Leveraging Overfitting for Low-Complexity and Modality-Agnostic Joint Source-Channel Coding

Haotian Wu, Gen Li, Pier Luigi Dragotti, and Deniz Gündüz
Imperial College London, Department of Electrical and Electronic Engineering

Abstract

This paper introduces Implicit-JSCC, a novel overfitted joint source–channel coding paradigm that directly optimizes channel symbols and a lightweight neural decoder for each source. This instance-specific strategy eliminates the need for training datasets or pre-trained models, enabling a storage-free, modality-agnostic solution. As a low-complexity alternative, Implicit-JSCC achieves efficient image transmission with around 1000x lower decoding complexity, using as few as 607 model parameters and 641 multiplications per pixel. This overfitted design inherently addresses source generalizability and achieves state-of-the-art results in the high SNR regimes, underscoring its promise for future communication systems, especially streaming scenarios where one-time offline encoding supports multiple online decoding.

From AE-based DeepJSCC codec to overfitted codec

Description of the image

Fig. 1 Operational paradigm and corresponding performance.

Towards ultra low-complexity and modality-agnostic DeepJSCC

Description of the image

Fig. 2 Architecture of Implicit-JSCC. Left: encoding process of the transmitter; Right: decoding process of the receiver.

Numerical results of Implciit-JSCC across various scenarios

Description of the image

Fig. 3 Experimental resutls on Kodak dataset.

Description of the image

Fig. 4 Visulization on Kodak dataset.

Description of the image

Fig. 5 Experimental resutls on CLIC2020 dataset.

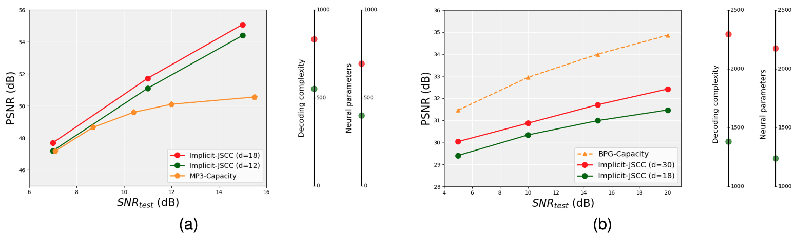
Description of the image

Fig. 6 Other modality: (a). Audio and (b). MRI data.

Visual comparisons

Description of the image

Fig. 7 Comparisons on CLIC2020 dataset, SNR=0dB.

BibTeX


  @article{ImplicitJSCC,
    title={Leveraging Overfitting for Low-Complexity Deep Joint Source-Channel Coding},
    author={Haotian Wu, Pier Luigi Dragotti, and Deniz Gündüz},
    journal={ArXiv},
    year={2025}
  }